路径积分表述与对称性

在前面几篇中,我们使用了路径积分表述对标量场、矢量场、旋量场进行了量子化。这种方法完全基于哈密顿量的结构。那么如果系统的拉氏量具有某种对称性,相应的路径积分表述中也能够保持这种对称性。在经典力学中,可以使用最小作用量原理推导出了系统的运动方程——欧拉-拉格朗日方程,利用 Noether 定理将守恒量与对称性联系起来。现在,我们想使用路径积分表述去探索量子场论中的运动方程、守恒律。

运动方程

不妨考虑一个自由标量场:

L=12(μϕ)212m2ϕ2\mathcal{L} = \frac{1}{2}(\partial_{\mu}\phi)^2 - \frac{1}{2}m^2\phi^2

考虑如下的三点关联函数:

ΩTϕ(x1)ϕ(x2)ϕ(x3)Ω=Z1Dϕeid4xL[ϕ]ϕ(x1)ϕ(x2)ϕ(x3)\langle \Omega| T\phi(x_1)\phi(x_2)\phi(x_3)|\Omega\rangle = Z^{-1}\int \mathcal{D}\phi e^{i\int d^4x \mathcal{L}[\phi]}\phi(x_1)\phi(x_2)\phi(x_3)

在理论力学中,我们使用了最小作用量原理推导出了运动方程:拉格朗日方程。现在我们也认为真实运动所对应的作用量取极值来推导运动方程。即考虑如下无穷小变换:

ϕ(x)ϕ(x)=ϕ(x)+ϵ(x)\phi(x) \rightarrow \phi'(x) = \phi(x) + \epsilon(x)

这个 shift 不改变积分测度:

Dϕ=Dϕ\mathcal{D}\phi' = \mathcal{D}\phi

得到:对于真实运动将有下式成立

Dϕeid4xL[ϕ]ϕ(x1)ϕ(x2)ϕ(x3)=Dϕeid4xL[ϕ]ϕ(x1)ϕ(x2)ϕ(x3)=Dϕeid4xL[ϕ]{ϕ(x1)ϕ(x2)ϕ(x3)+(id4xϵ(x)(2m2)ϕ(x)ϕ(x1)ϕ(x2)ϕ(x3))+ϵ(x1)ϕ(x2)ϕ(x3)+ϕ(x1)ϵ(x2)ϕ(x3)+ϕ(x1)ϕ(x2)ϵ(x3)}\begin{aligned} &\int \mathcal{D}\phi e^{i\int d^4x \mathcal{L}[\phi]}\phi(x_1)\phi(x_2)\phi(x_3)\\ =& \int \mathcal{D}\phi e^{i\int d^4x \mathcal{L}[\phi']}\phi'(x_1)\phi'(x_2)\phi'(x_3)\\ =&\int \mathcal{D}\phi e^{i\int d^4x \mathcal{L}[\phi]}\{\phi(x_1)\phi(x_2)\phi(x_3) + (i\int d^4x \epsilon(x)(-\partial^2-m^2)\phi(x)\phi(x_1)\phi(x_2)\phi(x_3))\\ &\quad + \epsilon(x_1)\phi(x_2)\phi(x_3) + \phi(x_1)\epsilon(x_2)\phi(x_3) + \phi(x_1)\phi(x_2)\epsilon(x_3)\} \end{aligned}

其中 ϵ(x2)\epsilon(x_2) 可以写为:

ϵ(x2)=d4xϵ(x)δ(xx1)\epsilon(x_2) = \int d^4x \epsilon(x)\delta(x-x_1)

那么就可以将上式子的后四项写成同样的形式。可以得到:

0=Dϕeid4xL[(2+m2)ϕ(x)ϕ(x1)ϕ(x2)ϕ(x3)+iδ(xx1)ϕ(x2)ϕ(x3)+iϕ(x1)δ(xx2)ϕ(x3)+iϕ(x1)ϕ(x2)δ(xx3)]\begin{aligned} 0 &= \int \mathcal{D}\phi e^{i\int d^4x \mathcal{L}}[(\partial^2+m^2)\phi(x)\phi(x_1)\phi(x_2)\phi(x_3)\\ &\quad + i\delta(x-x_1)\phi(x_2)\phi(x_3) + i\phi(x_1)\delta(x-x_2)\phi(x_3) + i\phi(x_1)\phi(x_2)\delta(x-x_3)] \end{aligned}

若我们仅考虑只有 ϕ(x1)\phi(x_1) 的情形,类比上式,一点关联函数 Ωϕ(x1)Ω\langle \Omega|\phi(x_1)|\Omega\rangle 将满足如下方程:

0=Dϕeid4xL[(2+m2)ϕ(x)ϕ(x1)+iδ(xx1)]0 = \int \mathcal{D}\phi e^{i\int d^4x \mathcal{L}}[(\partial^2+m^2)\phi(x)\phi(x_1) + i\delta(x-x_1)]

即有:

(2+m2)ΩTϕ(x)ϕ(x1)Ω=iδ(xx1)(\partial^2 + m^2)\langle \Omega|T\phi(x)\phi(x_1)|\Omega\rangle = -i\delta(x-x_1)

这就是一点关联函数将满足的运动方程。我们注意到:其中式子左边带有 Klein-Gordon 算子 2+m2\partial^2+m^2,右边出现了 δ\delta 函数。这说明费曼传播子:ΩTϕ(x)ϕ(x1)Ω\Omega|T\phi(x)\phi(x_1)|\Omega\rangle 是 Klein-Gordon 算子的格林函数。

对于一般的 nn 点关联函数,实际上有:

(2+m2)ΩTϕ(x)ϕ(x1)ϕ(xn)Ω=i=1nΩTϕ(x1)(iδ(xxi))ϕ(xn)Ω(\partial^2 + m^2)\langle \Omega|T\phi(x)\phi(x_1)\cdots \phi(x_n)|\Omega\rangle = \sum_{i=1}^n\langle\Omega|T\phi(x_1)\cdots(-i\delta(x-x_i))\cdots \phi(x_n)|\Omega\rangle

上述结论是容易进行推广的:

0=Dφeid4xL{(id4xϵ(x)δδφ(x)d4xL)φ(x1)φ(xn)+i=1nφ(x1)δ(xxi)φ(xn)}(1)\begin{aligned} 0 &= \int \mathcal{D}\varphi e^{i\int d^4x\mathcal{L}}\{(i \int d^4x \epsilon(x)\frac{\delta}{\delta \varphi(x)}\int d^4x'\mathcal{L}) \cdot \varphi(x_1)\cdots \varphi(x_n)\\ &\quad + \sum_{i=1}^{n} \varphi(x_1)\cdots \delta(x - x_i)\cdots \varphi(x_n)\} \end{aligned}\tag{1}

考虑到:

δδφ(x)d4xL=LφμL(μφ)\frac{\delta}{\delta \varphi(x)}\int d^4x'\mathcal{L} = \frac{\partial \mathcal{L}}{\partial \varphi} - \partial_{\mu}\frac{\partial \mathcal{L}}{\partial (\partial_{\mu}\varphi)}

这正是 φ\varphi 需要满足的拉格朗日方程。(1)(1) 可以写为:

(δδφ(x)d4xL)φ(x1)φ(xn)=i=1nφ(x1)(iδ(xxi))φ(xn)\langle (\frac{\delta}{\delta \varphi(x)}\int d^4x'\mathcal{L}) \varphi(x_1) \cdots \varphi(x_n)\rangle = \sum_{i=1}^n \langle \varphi(x_1)\cdots (i\delta(x - x_i))\cdots \varphi(x_n)\rangle

其中 \langle \cdots \rangle 表示关联函数,其中的场量作时序积。上述方程称为 Schwinger-Dyson 方程,是经典场论中场的运动方程在量子场论中的类比。

我们如果用 F[φ]F[\varphi] 表示一个有关场量 φ\varphi 的泛函。那么 Schwinger-Dyson 方程 方程可以写为:

δF[φ]δφ=iF[φ]δS[φ]δφ(2)\langle \frac{\delta F[\varphi]}{\delta \varphi}\rangle = -i\langle F[\varphi]\frac{\delta S[\varphi]}{\delta\varphi}\rangle\tag{2}

守恒量与对称性

在经典力学中,Noether 定理说明了守恒量与对称性的关系。现在我们利用路径积分表述,在量子场论中进行相关的分析。以自由复值场为例:

L=μϕ2mϕ2(3)\mathcal{L} = |\partial_{\mu}\phi|^2 - m|\phi|^2 \tag{3}

该拉氏量在变换 ϕeiαϕ\phi \rightarrow e^{i\alpha}\phi 下不变。该变换的无穷小形式为:

ϕ(x)ϕ(x)=ϕ(x)+iα(x)ϕ(x)(4)\phi(x) \rightarrow \phi(x)' = \phi(x) + i\alpha(x)\phi(x) \tag{4}

在该变换下,容易得到积分测度不变。既然拉氏量不变,那么两点关联函数也应当不变。即:

Dϕeid4xL[ϕ]ϕ(x1)ϕ(x2)=Dϕeid4xL[ϕ]ϕ(x1)ϕ(x2)ϕ=(1+iα)ϕ=Dϕeid4xL[ϕ]{id4x[(μα)i(ϕμϕϕμϕ)ϕ(x1)ϕ(x2)+[iα(x1)ϕ(x1)]ϕ(x2)+ϕ(x1)[iα(x2)ϕ(x2)]}\begin{aligned} \int \mathcal{D}\phi e^{i\int d^4x \mathcal{L}[\phi]}\phi(x_1)\phi^*(x_2) &= \int \mathcal{D}\phi e^{i\int d^4x \mathcal{L}[\phi']}\phi'(x_1)\phi'^*(x_2)|_{\phi' = (1+i\alpha) \phi}\\ &= \int \mathcal{D}\phi e^{i\int d^4x \mathcal{L}[\phi]}\{i\int d^4x[(\partial_{\mu}\alpha)\cdot i(\phi\partial^{\mu}\phi^*-\phi^*\partial^{\mu}\phi)\phi(x_1)\phi^*(x_2)\\ &\quad +[i\alpha(x_1)\phi(x_1)]\phi^*(x_2) + \phi(x_1) [-i\alpha(x_2)\phi^*(x_2)]\} \end{aligned}

我们注意到,上式中正包含了矢量流:

jμ=i(ϕμϕϕμϕ)j^{\mu} = i(\phi\partial^{\mu}\phi^*-\phi^*\partial^{\mu}\phi)

将该式进行分部积分,可以得到:

μjμϕ(x1)ϕ(x2)=(i)(iϕ(x1)δ(xx1)ϕ(x2)+ϕ(x1)(iϕ(x2)δ(xx2))\langle \partial_{\mu}j^{\mu}\phi(x_1)\phi^*(x_2)\rangle = (-i)\langle(i\phi(x_1)\delta(x-x_1)\phi^*(x_2) + \phi(x_1)(-i\phi^*(x_2)\delta(x-x_2))\rangle

这就是经典的流守恒方程在场论中的类比。

不难讨论一般情况,考虑对场量做一个无穷小变换:

φa(x)φa(x)+iϵΔφa(x)\varphi_a(x) \rightarrow \varphi_a(x) + i\epsilon \Delta\varphi_a(x)

假设作用量在该变换下保持不变,那么拉氏量至多改变一个表面项:

L[φ]L[φ]+ϵμJμ\mathcal{L}[\varphi] \rightarrow \mathcal{L}[\varphi] + \epsilon \partial_{\mu}\mathcal{J}^{\mu}

如果 ϵ\epsilon 是一个依赖于 xx 的量,那么拉氏量将改变为:

L[φ]L[φ]+(μϵ)ΔφaL(μφa)+ϵμJμ\mathcal{L}[\varphi] \rightarrow \mathcal{L}[\varphi] + (\partial_{\mu}\epsilon)\Delta\varphi_a \frac{\partial \mathcal{L}}{\partial (\partial_{\mu}\varphi_a)} + \epsilon \partial_{\mu}\mathcal{J}^{\mu}

上式中重复的指标 aa 代表求和。因此可以得到:

δδϵ(x)d4xL[φ+ϵΔφ]=μJμΔφaμL(μφa)=μjμ\begin{aligned} \frac{\delta}{\delta \epsilon(x)}\int d^4x \mathcal{L}[\varphi + \epsilon \Delta \varphi] &= \partial_{\mu}\mathcal{J}^{\mu} - \Delta \varphi_a \partial_{\mu} \frac{\partial \mathcal{L}}{\partial (\partial_{\mu}\varphi_a)}\\ &= -\partial_{\mu}j^{\mu}\\ \end{aligned}

其中:

jμ=L(μφa)ΔφaJμj^{\mu} = \frac{\partial \mathcal{L}}{\partial (\partial_{\mu}\varphi_a)}\Delta \varphi_a - \mathcal{J}^{\mu}

利用路径积分表述进行推导,得到相应的 Schwinger-Dyson 方程:

μjμφa(x1)φb(x2)=(i)(Δφa(x1)δ(xx1)φb(x2))+(φa(x1)(φb(x2)δ(xx2))\langle \partial_{\mu}j^{\mu}\varphi_a(x_1)\varphi_b(x_2)\rangle = (-i)\langle (\Delta \varphi_a(x_1)\delta(x-x_1)\varphi_b(x_2)) + (\varphi_a(x_1)(\varphi_b(x_2)\delta(x-x_2))\rangle

Ward 等式

最后我们来考虑以下与 QED 的全局对称性相关的 Schwinger-Dyson 方程。考虑进行如下变换 (U(1))(U(1))

ψ(x)(1+ieα(x))ψ(x)\psi(x) \rightarrow (1+ie\alpha(x))\psi(x)

对应的拉氏量成为:

LLeμαψˉγμψ\mathcal{L} \rightarrow \mathcal{L} - e\partial_{\mu}\alpha\bar{\psi}\gamma^{\mu}\psi

使用泛函积分计算两点关联函数,并进行类似推导,将得到对应的泛函积分将满足如下等式:

0=DψˉDψDAeid4xL{id4xμα(x)[jμ(x)ψ(x1)ψˉ(x2)]+(ieα(x1)ψ(x1))ψˉ(x2)+ψ(x1)(ieα(x2)ψˉ(x2))}\begin{aligned} 0 &= \int\mathcal{D}\bar{\psi}\mathcal{D}\psi \mathcal{D}A e^{i\int d^4x \mathcal{L}}\{-i\int d^4x \partial_{\mu}\alpha(x) [j^{\mu}(x)\psi(x_1)\bar{\psi}(x_2)]\\ &\quad + (ie\alpha(x_1)\psi(x_1))\bar{\psi}(x_2) + \psi(x_1)(-ie\alpha(x_2)\bar{\psi}(x_2)) \} \end{aligned}

其中:

jμ=eψˉγμψj^{\mu} =e \bar{\psi}\gamma^{\mu}\psi

通过除以 ZZ,并进行分部积分,可以把得到的结果写为:

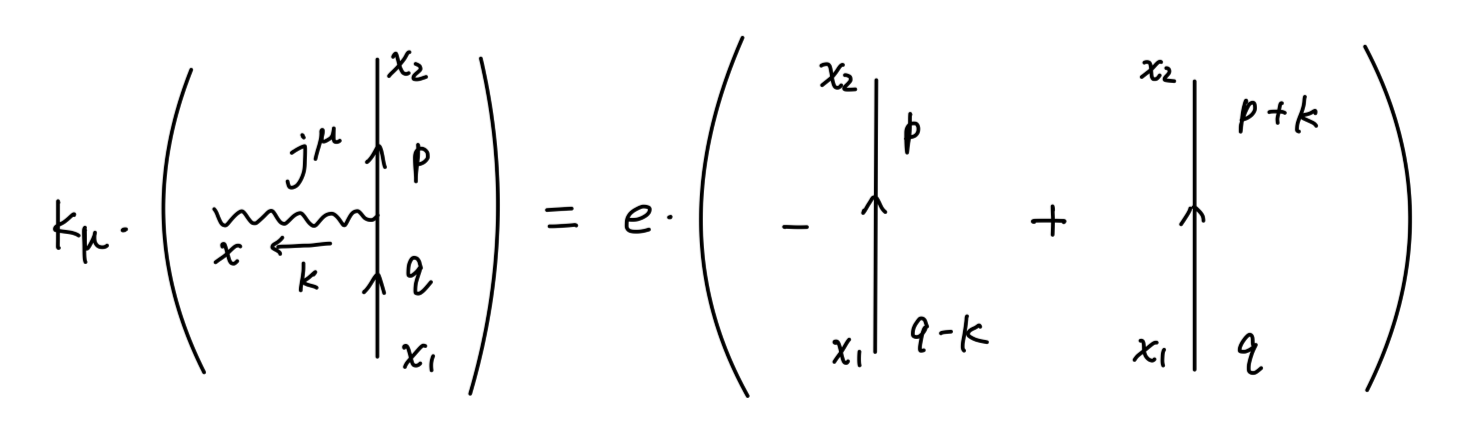
iμ0Tjμ(x)ψ(x1)ψˉ(x2)0=ieδ(xx1)0Tψ(x1)ψˉ(x2)0+ieδ(xx2)0Tψ(x1)ψˉ(x2)0(5)\begin{aligned} i\partial_{\mu}\langle 0|Tj^{\mu}(x)\psi(x_1)\bar{\psi}(x_2)|0\rangle &= -ie\delta(x-x_1)\langle 0|T\psi(x_1)\bar{\psi}(x_2)|0\rangle\\ &\quad + ie\delta(x-x_2)\langle 0|T\psi(x_1)\bar{\psi}(x_2)|0\rangle\\ \end{aligned}\tag{5}

通过如下傅里叶变换:

d4xeikxd4x1e+iqx1d4x2eipx2\int d^4x e^{-ik\cdot x}\int d^4x_1 e^{+iq\cdot x_1} \int d^4x_2 e^{-ip\cdot x_2}

我们可以将上式的每一项与一个费曼图关联起来:

可以把 (5)(5) 变换为我们所熟悉的形式:

ikμMμ(k;p,q)=ieM0(p;qk)+ieM0(p+k;q)-ik_{\mu}\mathcal{M}^{\mu}(k;p,q) = -ie\mathcal{M}_0(p;q-k) + ie\mathcal{M}_0(p+k;q)

这就是 Ward 等式,说明这是 U(1)U(1) 对称性所给出的必然结果。